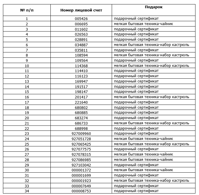
Нижегородский филиал АО «ЭнергосбыТ Плюс» подвел итоги акции «Подарок с Плюсом». Участниками акции стали 4 485 жителей Дзержинска и Кстовского муниципального округа, которые в период с 1 по 30 сентября 2023 года оплатили имевшиеся долги за отопление и горячую воду перед поставщиком услуги ПАО «Т Плюс», а также просуженные пени и госпошлину. С помощью генератора случайных чисел определили победителей: 34 лицевых счета. Специалисты компании свяжутся с ними, чтобы сообщить им дату и время вручения приза в офисе компании.
Лицевые счета победителей:
.png)
Информацию об итогах акции можно узнать на сайте Нижегородского филиала «ЭнергосбыТ Плюс», в офисах компании, а также по телефону Контакт-центра.
Другие новости
